Feed ycombinator Hacker News

Favorite IconHacker News

Link https://news.ycombinator.com/
Feed http://news.ycombinator.com/rss
Updated 2026-01-27 02:15
Big O Notation – Using not-boring math to measure code’s efficiency
Comments
Cops Are Giving Amazon's Ring Your Real-Time 911 Data
Comments
OpenAI is looking for its first full-time IT hire
Comments
Alarming surge in drug-resistant HIV uncovered
Comments
ThorShield Energy Weapon Protection Fabric
Comments
Cortex – An ML model deployment platform that runs in your AWS account
Comments
Building a Coffee Pot Monitor Using Raspberry Pi
Comments
Jeffrey Epstein Hoped to Seed Human Race with His DNA
Comments
TSMC Talks 7nm, 5nm, Yield, and Next-Gen 5G and HPC Packaging
Comments
Multiprocessing for the Impoverished: a multi-6809 system (1993)
Comments
Thamugadi, a Roman outpost in Algeria, was saved by the Sahara
Comments
Espresso Machine Powered by Tcl/Tk
Comments
Amazon, Walmart, Ikea targeted in University of California light bulb lawsuits
Comments
Website Builder Webflow (YC S13) to Exceed $200M Valuation in New Funding
Comments
The Story of the Ping Program (1997)
Comments
Some things that might help you make better software
Comments
The Washington Post's bestseller lists have been wrong
Comments
Upwork founder goes all-remote in next startup
Comments
Suicide Attempters’ Longterm Survival
Comments
One man, eight years, nearly 20k cat videos, and not a single viral hit
Comments
How Google Search Works (By Google)
Comments
Discrete Differential Geometry: An Applied Introduction [pdf]
Comments
Microsoft turns an obsession with detail into micron-optimized keyboards
Comments
How is China able to provide enough food to feed over 1B people?
Comments
Current global warming is unparalleled in 2k years
Comments
More Money Than Anyone Imagined: An explanation for why the bubble never burst
Comments
Asm-declaration – Embed assembly language code within a C++ program (2017)
Comments
Russian Hack of Elections System Was Far-Reaching, Report Finds
Comments
Submit Your Claim in the Equifax Breach Settlement
Comments
MQTT: A Conceptual Deep-Dive
Comments
U.S. Justice Department resumes use of the death penalty
Comments
Man Who Built the Retweet: “We Handed a Loaded Weapon to 4-Year-Olds”
Comments
Alibaba partner announces 16 core RISC-V chip
Comments
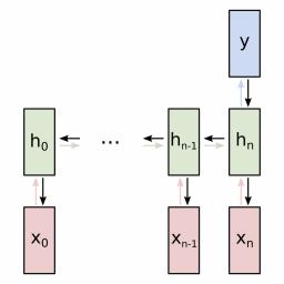
Implementing an RNN from scratch (numpy only) in Python
Comments
US proposes barring tech companies from offering financial services
Comments
Teenager can walk again thanks to Dutch 3D printed spinal implant
Comments
Facebook revenue beats estimates; discloses antitrust probe
Comments
How (not) to sign a JSON object
Comments
EvilGnome: Rare Malware Spying on Linux Desktop Users
Comments
Netflix launches Rs 199 ($2.80) mobile-only monthly plan in India
Comments
Twitch Developer Hackathon
Comments
Human species-specific genetic mutation enhances atherosclerosis
Comments
Mauritius Leaks exposes tiny tax haven's role in vast offshore system
Comments
Melissa Di Donato Appointed CEO of SUSE
Comments
“Programming Algorithms” Book
Comments
Stacked Capsule Autoencoders
Comments
Quartzy (YC S11) Is Hiring a Product Leader in Hayward, CA
Comments
PEG Parsers
Comments
Loneliness – What characteristics are associated with feeling lonely?
Comments
Robinhood raises $323M at a $7.6B valuation
Comments
...942943944945946947948949950951...